Néhány gondolat a szenior úszók időeredményeinek
értékeléséről
A sporttársak gyakran észrevételeket tesznek a szenior emlékversenyek végeredményével
kapcsolatban és sajnos sokszor jogosan. Ezért az alábbiakban megpróbálom megmutatni azokat a
nehézségeket, amelyekkel meg kell küzdeni annak, aki szeretné összehasonlítani különböző
korcsoportok eredményeit. Kérem a kedves olvasót türelmesen nézze végig írásomat, mert
a végén megoldást is kínálok.
LEN pontszám
A LEN pontszám a versenyző idejét hasonlítja egy alapidőhöz. Az alapidő a világcsúcs
közeli idő. A szenior LEN pontszámot úgy számítottam ki, hogy a TOP10 ranglista mediánjához
viszonyítottam a versenyző által elért időt majd a hányadost köbre emeltem és szoroztam
1000-el.(Medián = a TOP10 5. és 6. érték számtani középarányosa,
vagy a 6. érték ha a holtverseny miatt 11 eredmény van).
Ezzel a képlettel készítettem el a LEN pont számítást minden időeredményre,
amelyet a magyarországi szeniorok értek el 2004 és 2009. augusztusa között. Minden versenyzőt
a legmagasabb LEN pontszámú egyetlen eredménnyel táblázatba foglaltam. A legértékesebb
eredményeket elért versenyzők természetesen több eredménnyel is felkerültek volna erre a
listára. A táblázatban az eredmények LEN pontszám szerint csökkenőbe vannak rendezve.
A fenti táblázatban látható, hogy 1000 szenior LEN pont körül jó esélye van a versenyzőnek
felkerülni a TOP10 világranglistára. A százalékos értéket ebben a táblázatban az alábbi
képlettel számítottam.
Ez a képlet használt a szenior versenyek emlékszámainak értékelésére.
Látható, hogy Dr. Bánki Horváth Béla eredménye TOP10 világranglista 6. helyet ért,
de a százalékos értékelés csak 84,67% -ot ad.
Ezért elkészítettem egy táblázatot, amely minden korcsoport világcsúcs eredményeinek
százalékos értékét tartalmazza. A színezés szerint piros alapon a 105% nál nagyobb
értéket, a kék szín a 95% nál kisebb értéket tartalmazza. Ez azt jelenti, hogy a piros
mezőben a világcsúcsnál gyengébb idő is 100% fölötti, míg a kék mezőben található
értéknél a világcsúcs sem ér 100%-ot. Az úszásnemek rövidítése remélem egyértelmű: az
"f" a férfi, az "n" a női versenyzőket jelenti, míg a második betű az úszásnem
első betűje.
| Úszásnem |
Együtthatók |
Az adott korcsoportban a világcsúcsnak megfelelő százalékos érték |
Összesen eltérés 100%-hoz képest |
| e1 |
e2 |
25-29 |
30-34 |
35-39 |
40-44 |
45-49 |
50-54 |
55-59 |
60-64 |
65-69 |
70-74 |
75-79 |
80-84 |
85-89 |
90-94 |
95-99 |
100-104 |
| 50fg |
2.56054 |
0.012850 |
98.84 |
99.04 |
102.10 |
101.21 |
103.97 |
105.97 |
105.65 |
104.64 |
106.74 |
105.03 |
100.39 |
99.68 |
95.20 |
87.45 |
66.78 |
31.24 |
157.47 |
| 100fg |
2.34030 |
0.013000 |
97.79 |
99.56 |
103.01 |
102.38 |
105.70 |
106.77 |
105.66 |
106.62 |
106.51 |
106.24 |
99.19 |
99.73 |
93.61 |
84.99 |
60.59 |
36.14 |
171.28 |
| 200fg |
2.17197 |
0.013000 |
96.54 |
98.42 |
101.41 |
102.17 |
104.25 |
107.27 |
104.87 |
104.55 |
106.34 |
106.16 |
100.49 |
96.31 |
96.73 |
84.98 |
68.15 |
  |
96.37 |
| 400fg |
2.06727 |
0.012550 |
94.66 |
96.32 |
99.22 |
99.99 |
101.95 |
107.07 |
104.19 |
102.46 |
105.90 |
107.83 |
100.25 |
94.22 |
93.95 |
86.44 |
66.20 |
  |
98.64 |
| 800fg |
1.99425 |
0.012700 |
94.54 |
95.33 |
99.51 |
102.17 |
104.35 |
108.22 |
106.32 |
107.00 |
109.24 |
112.06 |
100.17 |
98.52 |
94.60 |
77.72 |
75.32 |
  |
113.99 |
| 1500fg |
1.96515 |
0.012700 |
93.48 |
95.10 |
98.91 |
102.37 |
102.39 |
109.66 |
104.12 |
106.95 |
108.89 |
112.72 |
100.44 |
97.98 |
94.41 |
82.67 |
69.37 |
  |
115.63 |
| 50fh |
2.26613 |
0.012400 |
95.80 |
99.09 |
99.24 |
101.31 |
100.31 |
101.89 |
102.54 |
102.30 |
102.10 |
101.28 |
99.76 |
102.17 |
97.82 |
81.62 |
54.85 |
38.81 |
146.91 |
| 100fh |
2.13076 |
0.012850 |
96.19 |
100.10 |
99.30 |
101.55 |
102.86 |
103.64 |
103.56 |
102.20 |
100.53 |
102.65 |
99.64 |
104.27 |
99.95 |
82.15 |
51.73 |
39.81 |
152.60 |
| 200fh |
1.99254 |
0.012550 |
94.66 |
100.82 |
99.61 |
99.03 |
101.06 |
104.27 |
101.83 |
101.16 |
99.28 |
101.66 |
100.00 |
102.79 |
97.73 |
84.39 |
50.03 |
  |
88.88 |
| 50fm |
2.08959 |
0.011350 |
96.54 |
98.00 |
101.56 |
100.20 |
104.14 |
102.14 |
103.31 |
103.13 |
104.01 |
101.79 |
99.99 |
97.01 |
96.15 |
69.01 |
57.08 |
  |
106.48 |
| 100fm |
1.93634 |
0.011800 |
95.03 |
98.13 |
101.41 |
100.41 |
102.56 |
103.90 |
103.85 |
104.00 |
101.95 |
100.66 |
99.55 |
95.75 |
94.23 |
75.54 |
56.14 |
  |
104.36 |
| 200fm |
1.79991 |
0.011500 |
94.29 |
97.89 |
102.02 |
100.49 |
100.55 |
105.29 |
103.01 |
102.82 |
104.34 |
101.42 |
100.35 |
96.57 |
92.47 |
78.01 |
61.84 |
  |
99.22 |
| 50fp |
2.42770 |
0.012400 |
94.90 |
96.67 |
100.32 |
100.05 |
102.38 |
105.45 |
104.42 |
101.63 |
100.07 |
99.84 |
93.62 |
84.20 |
78.31 |
63.21 |
  |
  |
103.57 |
| 100fp |
2.23413 |
0.013900 |
95.76 |
97.83 |
102.05 |
103.51 |
109.35 |
109.21 |
106.49 |
106.54 |
103.26 |
99.82 |
87.59 |
82.61 |
77.53 |
67.35 |
  |
  |
131.92 |
| 200fp |
2.00546 |
0.014050 |
97.39 |
101.95 |
104.25 |
110.36 |
111.20 |
108.55 |
105.82 |
111.92 |
100.77 |
99.82 |
98.06 |
90.36 |
85.72 |
76.73 |
  |
  |
106.75 |
| 100fv |
2.19099 |
0.013450 |
97.67 |
99.26 |
102.09 |
101.55 |
101.39 |
103.64 |
103.70 |
104.13 |
104.74 |
105.42 |
99.63 |
97.22 |
88.19 |
79.15 |
51.17 |
  |
114.36 |
| 200fv |
1.97503 |
0.012850 |
95.73 |
97.62 |
102.29 |
101.32 |
103.30 |
104.91 |
104.90 |
103.21 |
106.24 |
104.43 |
99.71 |
94.62 |
89.50 |
80.74 |
  |
  |
72.69 |
| 400fv |
1.86121 |
0.012700 |
95.45 |
96.54 |
99.96 |
102.06 |
103.44 |
107.56 |
105.32 |
104.99 |
109.47 |
104.93 |
100.50 |
97.55 |
91.07 |
81.91 |
  |
  |
75.80 |
| 50ng |
2.32211 |
0.013150 |
98.68 |
99.80 |
101.22 |
103.56 |
102.94 |
106.44 |
103.11 |
103.37 |
102.08 |
102.98 |
99.86 |
96.27 |
84.81 |
78.75 |
43.47 |
15.97 |
208.08 |
| 100ng |
2.12196 |
0.012400 |
94.79 |
100.09 |
101.48 |
105.26 |
102.95 |
108.92 |
102.01 |
103.25 |
104.03 |
102.32 |
96.54 |
90.51 |
86.10 |
71.20 |
42.94 |
  |
148.20 |
| 200ng |
1.96468 |
0.011800 |
94.24 |
97.13 |
101.54 |
103.59 |
104.75 |
107.47 |
102.32 |
100.10 |
102.50 |
103.16 |
93.83 |
90.24 |
86.77 |
69.38 |
  |
  |
93.86 |
| 400ng |
1.89589 |
0.012400 |
94.28 |
97.67 |
102.80 |
106.52 |
107.08 |
108.88 |
106.67 |
102.22 |
105.99 |
106.54 |
99.64 |
98.26 |
93.19 |
75.68 |
  |
  |
87.99 |
| 800ng |
1.86219 |
0.012250 |
92.29 |
96.12 |
100.34 |
103.23 |
108.10 |
108.03 |
105.95 |
102.32 |
103.33 |
105.86 |
99.70 |
98.40 |
94.22 |
76.07 |
  |
  |
80.36 |
| 1500ng |
1.82546 |
0.011950 |
92.80 |
96.58 |
99.94 |
103.41 |
108.27 |
106.34 |
107.66 |
100.25 |
100.58 |
104.86 |
99.05 |
97.19 |
94.83 |
72.64 |
  |
  |
78.36 |
| 50nh |
2.02168 |
0.011950 |
95.09 |
97.17 |
99.21 |
101.25 |
102.32 |
106.81 |
103.08 |
104.68 |
103.38 |
99.76 |
99.99 |
101.14 |
85.08 |
83.23 |
47.89 |
  |
115.24 |
| 100nh |
1.92692 |
0.012250 |
94.90 |
98.02 |
100.69 |
101.36 |
100.00 |
102.20 |
102.95 |
104.31 |
101.07 |
99.89 |
100.13 |
97.21 |
86.56 |
84.69 |
51.03 |
  |
100.42 |
| 200nh |
1.82953 |
0.012400 |
94.64 |
98.73 |
103.70 |
102.79 |
100.81 |
99.13 |
101.88 |
103.50 |
101.21 |
100.20 |
101.33 |
99.61 |
95.81 |
85.18 |
  |
  |
42.33 |
| 50nm |
1.89962 |
0.011350 |
96.67 |
94.77 |
98.93 |
102.36 |
103.63 |
98.96 |
102.36 |
106.63 |
100.59 |
102.87 |
100.22 |
92.62 |
78.79 |
65.77 |
  |
  |
92.15 |
| 100nm |
1.78008 |
0.011950 |
92.29 |
94.40 |
99.49 |
104.04 |
102.95 |
99.66 |
100.00 |
107.33 |
103.38 |
105.26 |
104.14 |
99.68 |
84.42 |
70.28 |
  |
  |
86.89 |
| 200nm |
1.57583 |
0.009700 |
93.27 |
96.38 |
100.01 |
103.90 |
99.76 |
100.06 |
98.96 |
103.47 |
101.86 |
101.00 |
100.22 |
91.98 |
79.27 |
44.50 |
  |
  |
106.40 |
| 50np |
2.20542 |
0.013450 |
95.23 |
100.57 |
101.78 |
103.51 |
103.12 |
107.86 |
105.81 |
106.83 |
100.06 |
99.47 |
92.95 |
76.46 |
65.76 |
16.91 |
  |
  |
182.76 |
| 100np |
2.01647 |
0.013600 |
93.33 |
103.57 |
101.76 |
104.74 |
104.68 |
110.34 |
106.95 |
107.71 |
100.65 |
93.15 |
91.13 |
85.11 |
72.58 |
  |
  |
  |
105.09 |
| 200np |
1.84223 |
0.013600 |
95.99 |
99.56 |
104.41 |
105.74 |
107.40 |
113.55 |
105.20 |
101.25 |
97.97 |
102.16 |
99.87 |
96.47 |
83.33 |
  |
  |
  |
66.51 |
| 100nv |
1.95068 |
0.012100 |
95.29 |
97.74 |
100.12 |
104.00 |
102.65 |
101.63 |
100.43 |
100.51 |
101.12 |
103.20 |
97.71 |
82.86 |
76.85 |
62.37 |
  |
  |
100.83 |
| 200nv |
1.79178 |
0.011950 |
94.33 |
96.82 |
100.21 |
103.68 |
102.40 |
103.82 |
101.48 |
103.08 |
102.66 |
101.43 |
97.70 |
87.47 |
81.38 |
70.56 |
  |
  |
90.48 |
| 400nv |
1.70929 |
0.011650 |
92.40 |
96.43 |
100.04 |
103.84 |
99.83 |
103.56 |
99.98 |
100.72 |
98.45 |
100.51 |
101.49 |
87.97 |
82.98 |
  |
  |
  |
52.11 |
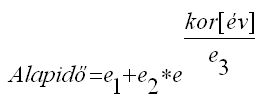
Bihari Árpád javasolta 2008 novemberében, ezért megpróbálkoztam egy exponenciális közelítéssel,
három pontra illesztve a görbéket a következő képlettel:
Az alábbi táblázat ennek a képletnek az alkalmazásával készült ugyanúgy mint az előző
a versenyszám világcsúcsára számolja ki a százalékos értéket. Sajnos ez sem ad sokkal jobb
közelítést.
| Úszásnem |
Együtthatók |
Az adott korcsoportban a világcsúcsnak megfelelő százalékos érték |
Összesen eltérés 100%-hoz képest |
| e1 |
e2 |
e3 |
25-29 |
30-34 |
35-39 |
40-44 |
45-49 |
50-54 |
55-59 |
60-64 |
65-69 |
70-74 |
75-79 |
80-84 |
85-89 |
90-94 |
95-99 |
100-104 |
| 50fg |
21.7079 |
0.26906 |
21.05408 |
100.00 |
101.68 |
100.32 |
102.69 |
101.13 |
100.00 |
100.61 |
101.30 |
98.35 |
98.20 |
100.00 |
97.03 |
96.79 |
99.21 |
120.89 |
237.68 |
176.72 |
| 100fg |
49.1551 |
0.40161 |
18.21068 |
100.00 |
100.51 |
99.21 |
101.69 |
99.98 |
100.00 |
101.47 |
100.21 |
99.02 |
96.90 |
100.00 |
94.45 |
94.10 |
95.38 |
121.22 |
181.47 |
127.50 |
| 200fg |
108.9799 |
0.75271 |
17.31152 |
100.00 |
100.71 |
100.17 |
101.66 |
101.50 |
100.00 |
103.05 |
103.28 |
100.43 |
98.28 |
100.00 |
98.91 |
91.80 |
95.77 |
107.67 |
  |
33.69 |
| 400fg |
236.5051 |
0.87196 |
15.28595 |
100.00 |
101.19 |
101.03 |
102.87 |
103.19 |
100.00 |
103.90 |
105.83 |
101.36 |
97.07 |
100.00 |
99.82 |
91.87 |
89.57 |
102.67 |
  |
43.70 |
| 800fg |
496.3138 |
1.46922 |
14.38209 |
100.00 |
102.37 |
101.10 |
101.31 |
101.69 |
100.00 |
103.03 |
102.57 |
99.28 |
93.99 |
100.00 |
94.43 |
89.05 |
95.72 |
85.21 |
  |
54.40 |
| 1500fg |
966.3295 |
0.92195 |
11.88097 |
100.00 |
101.82 |
101.37 |
101.26 |
104.39 |
100.00 |
107.22 |
105.00 |
101.96 |
95.11 |
100.00 |
92.65 |
83.59 |
79.87 |
76.96 |
  |
94.83 |
| 50fh |
24.5363 |
0.87143 |
27.77201 |
100.00 |
98.29 |
99.60 |
98.81 |
100.83 |
100.00 |
99.77 |
100.04 |
99.86 |
99.82 |
100.00 |
95.86 |
97.77 |
113.80 |
163.63 |
222.38 |
210.89 |
| 100fh |
53.5004 |
1.37685 |
23.72342 |
100.00 |
98.05 |
100.65 |
99.96 |
99.91 |
100.00 |
100.48 |
101.68 |
102.62 |
99.12 |
100.00 |
92.89 |
93.50 |
108.96 |
164.67 |
202.42 |
198.05 |
| 200fh |
119.7437 |
1.80147 |
20.45210 |
100.00 |
96.23 |
99.65 |
102.27 |
101.91 |
100.00 |
103.12 |
103.84 |
105.04 |
100.93 |
100.00 |
93.82 |
94.18 |
103.02 |
162.61 |
  |
98.85 |
| 50fm |
26.1251 |
1.08166 |
29.08541 |
100.00 |
100.04 |
97.85 |
100.35 |
97.45 |
100.00 |
99.21 |
99.38 |
98.14 |
99.48 |
100.00 |
101.31 |
100.00 |
135.66 |
158.98 |
  |
104.83 |
| 100fm |
60.8447 |
1.00157 |
21.15459 |
100.00 |
99.11 |
97.95 |
100.79 |
100.19 |
100.00 |
100.63 |
100.46 |
101.70 |
101.39 |
100.00 |
100.42 |
97.58 |
115.25 |
145.47 |
  |
71.65 |
| 200fm |
135.0982 |
1.32826 |
18.44365 |
100.00 |
99.00 |
97.45 |
101.24 |
103.18 |
100.00 |
103.10 |
103.42 |
101.09 |
102.06 |
100.00 |
99.42 |
97.99 |
108.16 |
125.49 |
  |
53.88 |
| 50fp |
24.6544 |
0.03230 |
12.86147 |
100.00 |
100.69 |
99.42 |
101.94 |
101.54 |
100.00 |
101.67 |
104.05 |
103.69 |
99.98 |
99.99 |
101.14 |
95.62 |
100.51 |
  |
  |
20.22 |
| 100fp |
54.8174 |
0.06071 |
11.51186 |
100.00 |
101.10 |
99.97 |
101.40 |
98.28 |
100.00 |
103.01 |
101.64 |
101.06 |
97.63 |
100.00 |
91.34 |
80.33 |
73.43 |
  |
  |
67.23 |
| 200fp |
118.7858 |
1.26768 |
17.35272 |
100.00 |
98.35 |
98.77 |
95.48 |
96.49 |
100.00 |
102.93 |
96.66 |
105.36 |
102.98 |
100.00 |
101.99 |
99.61 |
101.82 |
  |
  |
29.71 |
| 100fv |
49.8578 |
2.08587 |
26.58284 |
100.00 |
100.10 |
98.79 |
100.54 |
101.64 |
100.00 |
100.12 |
99.43 |
98.10 |
96.23 |
100.00 |
100.11 |
107.26 |
115.60 |
172.26 |
  |
105.08 |
| 200fv |
119.0714 |
2.19637 |
20.91371 |
100.00 |
100.47 |
98.02 |
100.86 |
100.47 |
100.00 |
100.53 |
102.02 |
98.19 |
98.11 |
100.00 |
101.56 |
102.50 |
107.51 |
  |
  |
21.61 |
| 400fv |
261.6464 |
2.31847 |
17.31445 |
100.00 |
101.88 |
101.18 |
101.62 |
102.39 |
100.00 |
102.97 |
103.21 |
97.82 |
99.58 |
100.00 |
97.60 |
97.57 |
99.83 |
  |
  |
20.84 |
| 50ng |
24.2064 |
0.36698 |
20.90154 |
100.00 |
100.94 |
101.40 |
100.70 |
102.57 |
100.00 |
103.50 |
102.83 |
102.92 |
99.95 |
100.00 |
99.57 |
107.29 |
108.46 |
182.42 |
456.41 |
469.91 |
| 100ng |
57.8496 |
0.04183 |
11.46233 |
100.00 |
97.72 |
99.39 |
98.67 |
103.57 |
100.00 |
108.19 |
106.99 |
104.37 |
101.71 |
100.00 |
95.13 |
85.39 |
84.43 |
110.05 |
  |
74.16 |
| 200ng |
125.8416 |
0.16885 |
12.39762 |
100.00 |
100.08 |
98.65 |
99.42 |
100.73 |
100.00 |
106.04 |
108.02 |
103.24 |
98.05 |
100.00 |
93.20 |
83.75 |
87.29 |
  |
  |
57.75 |
| 400ng |
263.6512 |
0.61969 |
13.63088 |
100.00 |
99.82 |
97.95 |
97.43 |
99.55 |
100.00 |
103.42 |
108.12 |
102.87 |
99.00 |
100.00 |
93.25 |
87.88 |
94.08 |
  |
  |
45.45 |
| 800ng |
551.4385 |
0.77691 |
12.59852 |
100.00 |
99.46 |
98.63 |
99.08 |
97.49 |
100.00 |
103.72 |
107.98 |
105.77 |
99.96 |
100.00 |
92.51 |
85.27 |
90.19 |
  |
  |
54.89 |
| 1500ng |
1038.1132 |
3.86261 |
14.90595 |
100.00 |
99.22 |
98.89 |
98.34 |
96.30 |
100.00 |
99.99 |
107.61 |
106.07 |
99.00 |
100.00 |
95.15 |
88.99 |
103.65 |
  |
  |
41.46 |
| 50nh |
29.9204 |
0.12191 |
15.69233 |
100.00 |
100.63 |
101.21 |
101.62 |
102.70 |
100.00 |
104.63 |
103.13 |
103.34 |
104.49 |
100.00 |
93.01 |
101.84 |
93.83 |
143.95 |
  |
80.71 |
| 100nh |
59.1821 |
2.23369 |
26.02205 |
100.00 |
98.74 |
97.84 |
98.69 |
101.28 |
100.00 |
99.79 |
98.58 |
101.36 |
101.65 |
100.00 |
101.05 |
110.78 |
110.05 |
176.87 |
  |
109.41 |
| 200nh |
108.1611 |
16.30002 |
39.05022 |
100.00 |
96.98 |
93.31 |
95.02 |
97.66 |
100.00 |
97.85 |
96.79 |
99.37 |
100.75 |
100.00 |
102.18 |
106.86 |
121.20 |
  |
  |
54.00 |
| 50nm |
22.6393 |
5.74270 |
51.05613 |
100.00 |
102.63 |
98.83 |
95.97 |
95.17 |
100.00 |
96.95 |
93.31 |
99.14 |
97.17 |
100.00 |
108.54 |
128.10 |
154.28 |
  |
  |
117.01 |
| 100nm |
61.8368 |
5.56154 |
35.20647 |
100.00 |
99.52 |
96.02 |
93.25 |
95.58 |
100.00 |
100.79 |
94.84 |
99.32 |
98.27 |
100.00 |
105.14 |
124.95 |
151.25 |
  |
  |
105.32 |
| 200nm |
143.8901 |
7.29438 |
29.67122 |
100.00 |
98.52 |
96.50 |
94.23 |
99.34 |
100.00 |
101.81 |
97.74 |
99.33 |
99.87 |
100.00 |
107.87 |
123.52 |
216.52 |
  |
  |
164.19 |
| 50np |
27.7220 |
0.05380 |
13.00013 |
100.00 |
97.62 |
99.31 |
100.28 |
102.93 |
100.00 |
102.60 |
100.94 |
105.14 |
100.81 |
99.99 |
109.17 |
110.28 |
360.96 |
  |
  |
296.19 |
| 100np |
63.5140 |
0.03650 |
10.48637 |
100.00 |
93.57 |
98.84 |
99.49 |
102.78 |
100.00 |
104.65 |
103.59 |
107.68 |
109.09 |
100.00 |
91.31 |
86.80 |
  |
  |
  |
57.77 |
| 200np |
136.6003 |
0.29211 |
12.70540 |
100.00 |
100.27 |
99.31 |
101.59 |
103.19 |
100.00 |
109.44 |
113.60 |
114.98 |
105.34 |
100.00 |
93.13 |
94.13 |
  |
  |
  |
61.84 |
| 100nv |
57.9234 |
2.17310 |
25.70798 |
100.00 |
99.29 |
98.49 |
96.10 |
98.36 |
100.00 |
101.44 |
101.11 |
99.75 |
96.48 |
100.00 |
115.06 |
120.38 |
143.20 |
  |
  |
92.72 |
| 200nv |
134.2269 |
2.23097 |
20.02821 |
100.00 |
99.94 |
98.83 |
97.45 |
100.27 |
100.00 |
102.80 |
100.93 |
100.23 |
99.36 |
100.00 |
107.14 |
109.31 |
118.55 |
  |
  |
43.65 |
| 400nv |
289.8961 |
4.47929 |
20.25101 |
100.00 |
98.53 |
97.49 |
96.17 |
102.08 |
100.00 |
104.69 |
104.38 |
106.46 |
103.09 |
100.00 |
111.93 |
114.05 |
  |
  |
  |
54.50 |
Az interneten találtam egy közelítő görbét és ennek hatására próbálkoztam egy olyan
képlettel is, amely az évben számított kort első és második hatványon
is tartalmazza (parabola görbe). A parabola ugyanúgy három pontra illesztett
mint az előző, de az eredmény sajnos nem meggyőző.
| Úszásnem |
Együtthatók |
Az adott korcsoportban a világcsúcsnak megfelelő százalékos érték |
Összesen eltérés % |
| e1 |
e2 |
e3 |
25-29 |
30-34 |
35-39 |
40-44 |
45-49 |
50-54 |
55-59 |
60-64 |
65-69 |
70-74 |
75-79 |
80-84 |
85-89 |
90-94 |
95-99 |
100-104 |
| 50fg |
9078.7900 |
-198.43300 |
1.08900 |
87.40 |
95.77 |
100.00 |
106.14 |
106.10 |
104.39 |
102.76 |
100.00 |
93.19 |
89.15 |
87.28 |
82.02 |
80.11 |
81.48 |
100.00 |
201.23 |
224.22 |
| 100fg |
10829.9800 |
-241.40000 |
1.35760 |
93.23 |
98.09 |
100.00 |
104.42 |
103.25 |
102.75 |
102.95 |
100.00 |
97.24 |
94.10 |
96.87 |
92.44 |
94.49 |
100.00 |
135.17 |
219.26 |
201.32 |
| 200fg |
5191.1000 |
-122.08300 |
0.74460 |
97.15 |
100.00 |
100.64 |
102.37 |
101.68 |
99.15 |
100.90 |
100.00 |
96.65 |
94.85 |
98.01 |
100.00 |
97.50 |
108.95 |
133.89 |
  |
65.15 |
| 400fg |
19032.3700 |
-438.47600 |
2.58320 |
96.61 |
100.00 |
100.97 |
102.88 |
102.38 |
97.84 |
100.00 |
100.38 |
95.35 |
91.62 |
96.24 |
100.00 |
98.09 |
104.57 |
134.50 |
  |
69.92 |
| 800fg |
-26210.2700 |
566.93900 |
-2.91420 |
92.26 |
98.52 |
100.10 |
101.79 |
102.41 |
100.00 |
101.75 |
100.00 |
96.11 |
91.45 |
99.58 |
98.51 |
100.00 |
119.08 |
120.85 |
  |
69.54 |
| 1500fg |
29997.2200 |
-723.21200 |
4.60480 |
94.62 |
100.00 |
101.79 |
102.44 |
105.01 |
99.05 |
104.05 |
100.00 |
96.24 |
90.66 |
99.01 |
98.78 |
100.00 |
111.88 |
131.42 |
  |
78.23 |
| 50fh |
1429.5400 |
-35.56000 |
0.22520 |
92.10 |
95.15 |
100.00 |
101.47 |
104.50 |
103.34 |
101.78 |
100.00 |
97.35 |
94.75 |
92.49 |
86.67 |
86.86 |
100.00 |
143.34 |
195.86 |
204.92 |
| 100fh |
-1951.0900 |
28.34100 |
-0.05860 |
90.81 |
93.83 |
100.00 |
101.54 |
102.27 |
101.87 |
100.88 |
100.00 |
98.60 |
93.14 |
92.28 |
84.76 |
85.11 |
100.00 |
154.10 |
195.48 |
217.63 |
| 200fh |
25536.6100 |
-589.22700 |
3.42820 |
100.00 |
98.17 |
102.51 |
105.01 |
103.57 |
100.00 |
101.18 |
100.00 |
99.64 |
94.94 |
94.16 |
89.47 |
92.19 |
105.01 |
175.25 |
  |
123.97 |
| 50fm |
-752.4300 |
14.19000 |
-0.05640 |
96.79 |
100.00 |
100.00 |
103.80 |
101.11 |
103.27 |
101.35 |
100.00 |
97.07 |
96.70 |
95.68 |
95.74 |
93.77 |
126.97 |
149.52 |
  |
110.27 |
| 100fm |
3963.3500 |
-95.18500 |
0.58700 |
96.53 |
100.00 |
100.00 |
103.21 |
102.19 |
101.08 |
100.55 |
99.22 |
99.59 |
98.97 |
98.10 |
100.00 |
99.81 |
122.67 |
163.32 |
  |
100.80 |
| 200fm |
6655.1600 |
-159.86200 |
0.99600 |
98.69 |
100.00 |
99.58 |
103.53 |
104.65 |
100.00 |
101.36 |
100.02 |
96.62 |
97.19 |
95.99 |
97.60 |
100.00 |
116.81 |
146.04 |
  |
86.73 |
| 50fp |
1142.6400 |
-27.68600 |
0.17400 |
91.72 |
98.27 |
100.00 |
103.97 |
103.46 |
100.51 |
100.00 |
99.91 |
97.66 |
93.52 |
94.83 |
100.00 |
101.93 |
119.83 |
  |
  |
53.81 |
| 100fp |
1757.0800 |
-42.77500 |
0.27700 |
93.69 |
100.00 |
102.18 |
104.77 |
100.65 |
100.04 |
100.00 |
96.06 |
94.36 |
92.45 |
99.62 |
100.00 |
101.23 |
111.34 |
  |
  |
44.05 |
| 200fp |
3422.7700 |
-83.83800 |
0.55240 |
97.45 |
100.00 |
102.82 |
99.93 |
100.00 |
101.54 |
101.87 |
93.33 |
99.91 |
97.07 |
95.22 |
100.00 |
102.70 |
112.74 |
  |
  |
38.76 |
| 100fv |
9624.4900 |
-221.58900 |
1.28980 |
95.69 |
99.13 |
100.00 |
102.81 |
103.91 |
101.34 |
100.00 |
97.57 |
94.53 |
91.24 |
93.67 |
93.21 |
100.00 |
108.83 |
165.24 |
  |
117.11 |
| 200fv |
2402.7900 |
-58.52500 |
0.39100 |
96.66 |
100.00 |
99.28 |
102.81 |
102.13 |
100.68 |
99.89 |
100.00 |
95.23 |
94.72 |
96.96 |
100.00 |
103.81 |
113.53 |
  |
  |
40.23 |
| 400fv |
4866.9800 |
-120.77300 |
0.82500 |
95.16 |
100.00 |
101.14 |
102.22 |
102.65 |
99.26 |
100.90 |
100.00 |
94.29 |
96.47 |
98.77 |
100.00 |
105.71 |
116.69 |
  |
  |
45.37 |
| 50ng |
25156.0400 |
-552.85200 |
3.04400 |
76.36 |
89.04 |
100.00 |
106.18 |
109.89 |
103.69 |
100.00 |
90.43 |
81.64 |
71.67 |
65.50 |
60.53 |
61.71 |
60.25 |
100.00 |
252.09 |
414.71 |
| 100ng |
11244.0900 |
-260.56100 |
1.52420 |
98.59 |
100.00 |
103.67 |
103.00 |
106.47 |
100.00 |
104.55 |
100.00 |
95.30 |
92.55 |
93.49 |
95.03 |
95.38 |
110.52 |
176.42 |
  |
134.29 |
| 200ng |
7627.5400 |
-184.05400 |
1.14280 |
98.64 |
100.75 |
100.00 |
100.24 |
100.00 |
97.15 |
100.68 |
100.75 |
95.77 |
92.32 |
98.31 |
99.05 |
100.00 |
121.81 |
  |
  |
43.00 |
| 400ng |
14246.6800 |
-345.95800 |
2.16880 |
96.89 |
100.02 |
100.00 |
99.89 |
101.24 |
100.00 |
101.29 |
103.93 |
97.90 |
94.77 |
98.49 |
97.17 |
100.00 |
120.79 |
  |
  |
42.15 |
| 800ng |
31427.8600 |
-761.42400 |
4.75120 |
97.57 |
100.00 |
100.72 |
101.35 |
98.71 |
99.40 |
100.86 |
103.02 |
100.00 |
95.35 |
98.77 |
97.75 |
100.00 |
121.95 |
  |
  |
40.35 |
| 1500ng |
83424.2300 |
-2014.80700 |
12.42740 |
98.19 |
100.00 |
101.00 |
100.60 |
97.72 |
100.00 |
98.30 |
104.27 |
102.10 |
95.94 |
99.40 |
99.27 |
100.00 |
128.92 |
  |
  |
48.08 |
| 50nh |
7504.4200 |
-171.29100 |
0.98460 |
91.07 |
96.18 |
100.00 |
102.20 |
103.61 |
100.00 |
102.84 |
99.29 |
97.64 |
97.64 |
93.65 |
88.90 |
101.54 |
100.00 |
168.14 |
  |
113.96 |
| 100nh |
15330.8200 |
-350.13700 |
2.01540 |
97.79 |
100.00 |
101.18 |
102.83 |
105.06 |
102.30 |
100.00 |
96.42 |
96.72 |
94.84 |
91.64 |
91.57 |
100.06 |
100.00 |
163.28 |
  |
105.73 |
| 200nh |
3914.1300 |
-94.69800 |
0.60960 |
100.00 |
99.58 |
97.43 |
100.00 |
102.81 |
104.65 |
101.32 |
98.87 |
100.00 |
99.87 |
97.76 |
98.73 |
102.35 |
115.50 |
  |
  |
34.39 |
| 50nm |
553.4000 |
-14.63700 |
0.10500 |
92.39 |
100.00 |
100.26 |
100.00 |
100.56 |
105.88 |
101.80 |
96.33 |
99.98 |
95.30 |
95.11 |
100.00 |
114.34 |
133.56 |
  |
  |
77.27 |
| 100nm |
1460.0600 |
-38.72900 |
0.27500 |
95.61 |
100.00 |
100.00 |
99.25 |
102.58 |
106.93 |
106.33 |
97.98 |
100.00 |
96.20 |
95.16 |
97.41 |
113.07 |
134.26 |
  |
  |
81.54 |
| 200nm |
31848.8900 |
-778.24900 |
4.79420 |
97.83 |
100.00 |
100.01 |
98.16 |
102.56 |
101.13 |
100.00 |
92.73 |
90.82 |
88.03 |
85.23 |
89.32 |
100.00 |
172.65 |
  |
  |
134.24 |
| 50np |
28669.6600 |
-696.83100 |
4.23980 |
84.99 |
91.57 |
100.00 |
104.86 |
108.02 |
102.21 |
100.00 |
92.95 |
91.80 |
84.81 |
83.23 |
93.03 |
100.00 |
362.32 |
  |
  |
355.02 |
| 100np |
1919.2700 |
-49.81700 |
0.34260 |
100.00 |
97.64 |
105.13 |
105.43 |
106.37 |
99.70 |
100.00 |
95.45 |
97.51 |
100.31 |
97.68 |
100.00 |
112.76 |
  |
  |
  |
42.03 |
| 200np |
5003.5000 |
-128.83600 |
0.87160 |
99.61 |
101.20 |
100.00 |
100.72 |
99.77 |
93.89 |
100.00 |
102.00 |
103.27 |
97.08 |
97.66 |
100.00 |
115.44 |
  |
  |
  |
34.61 |
| 100nv |
3457.1300 |
-84.35100 |
0.53340 |
96.90 |
100.00 |
101.45 |
99.66 |
101.30 |
101.15 |
100.00 |
96.76 |
92.60 |
87.10 |
88.26 |
100.00 |
103.95 |
124.07 |
  |
  |
70.64 |
| 200nv |
4469.1000 |
-109.91600 |
0.71840 |
96.58 |
100.00 |
100.84 |
99.92 |
102.00 |
100.00 |
100.52 |
96.43 |
93.87 |
91.89 |
92.30 |
100.00 |
104.73 |
118.45 |
  |
  |
55.56 |
| 400nv |
-4578.0400 |
109.21000 |
-0.55840 |
98.14 |
100.00 |
100.66 |
99.45 |
104.33 |
100.00 |
101.82 |
98.57 |
97.86 |
92.85 |
89.14 |
100.00 |
103.61 |
  |
  |
  |
34.40 |
Mi a tanulság?
A legpontosabb megoldás, ebben az esetben a legbonyolultabb. Ezt
a százalék számító programom úgy nevezi, hogy
"Korcsoportos világcsúcs sebesség százalékában". Előnyösebb mint a
szenior LEN pontszám, mert lineáris. Azaz, ha valaki 80% os eredményt ér el 100 méteren
(bármilyen úszásnemben) a világcsúcstartó éppen 20 méterrel győzné le egy versenyen,
ahol világcsúcstartó éppen világcsúcsot, a versenyző pedig az adott időt úszná.
A százalék érték számító program a honlapunkon
itt érhető el.
Próbálják ki, milyen értéket ad 50 méteres gyorsúszásban egy 50 éves versenyzőre 24,60 (ez a világcsúcs)
időeredményre.
összeállította Miklós Attila
2009.10.26.
| |